吉林省档案馆2月21日首次公布东北抗日联军第一路军总司令杨靖宇的一封信件档案。这份形成于1937年七七事变后的珍贵档案,为研究东北抗联配合全国抗战的战略决策提供了新实证。

这是2月21日拍摄的杨靖宇信件档案媒体见面会现场。新华社记者 唐成卓 摄
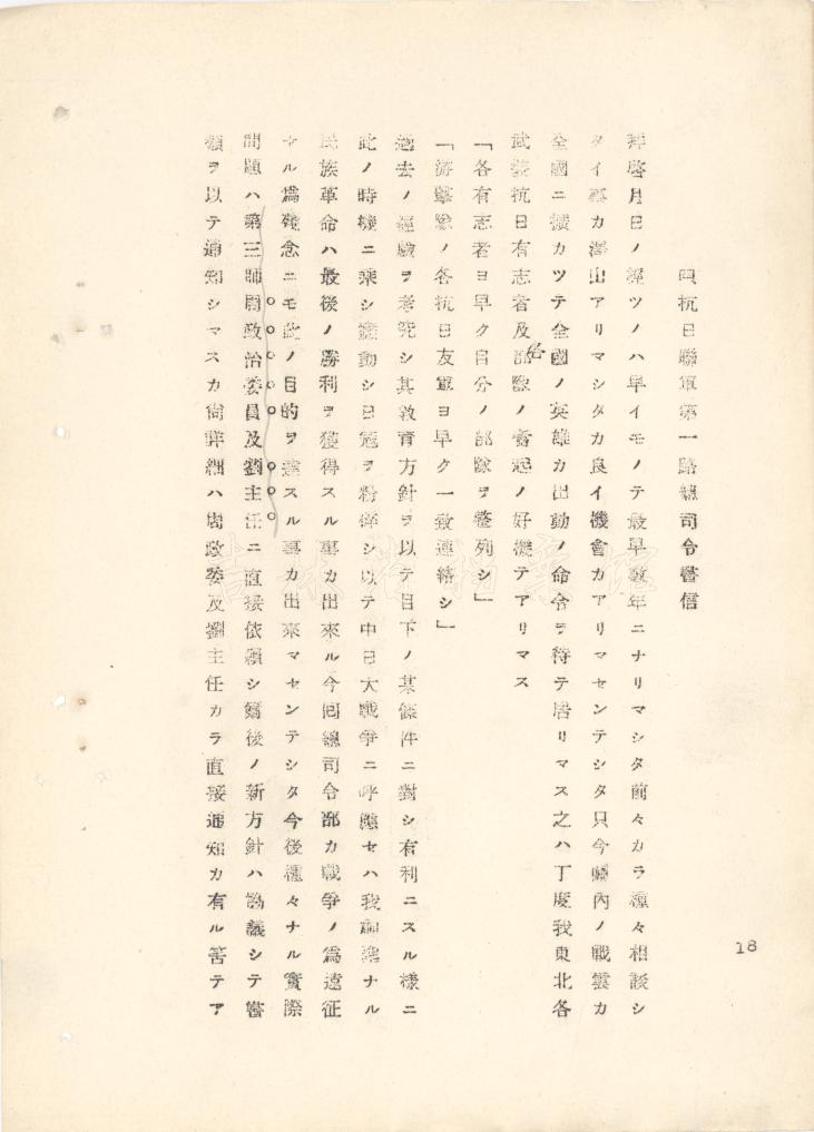
此次公布的档案系七七事变后,时任东北抗日联军第一路军总司令的杨靖宇致东北抗日联军第一路军第三师的一封信件。这封信在1937年10月的一次战斗中被日伪劫掠,并译为日文进行存档,现存于吉林省档案馆日本关东宪兵队司令部全宗。

杨靖宇信件日文档案。(吉林省档案馆供图)
吉林省档案馆专家介绍,信件虽未标注具体日期,但其中“响应中日大战”等内容,与1937年7月杨靖宇率部实施“远征作战”的历史节点高度吻合。档案显示,杨靖宇在七七事变后迅速调整战略,明确提出“从速整装部队”“联合抗日武装”等动员令,部署“钳制关东军、呼应关内战场”的作战方针。
这封日文版信件档案虽历经战火,但内容完整连续,清晰记载了杨靖宇指挥部队从辽宁桓仁向清原挺进的作战计划,印证了其“扩大抗联声威、实现关内外协同”的战略意图。

图为七七事变后,时任东北抗日联军第一路军总司令的杨靖宇致东北抗日联军第一路军第三师的一封信件的日文档案。新华社发(吉林省档案馆供图)

杨靖宇信件日文档案。(吉林省档案馆供图)
吉林大学中共党史党建研究院院长刘信君表示,2025年是杨靖宇将军诞辰120周年、殉国85周年,此次公布的档案对杨靖宇事迹研究,乃至东北抗联史研究都具有重要的史料价值。
杨靖宇(1905-1940)是东北抗日联军主要创始人和领导者之一,1940年2月在吉林濛江(今靖宇县)壮烈殉国。
|